当前位置: 网站首页 >> 正文

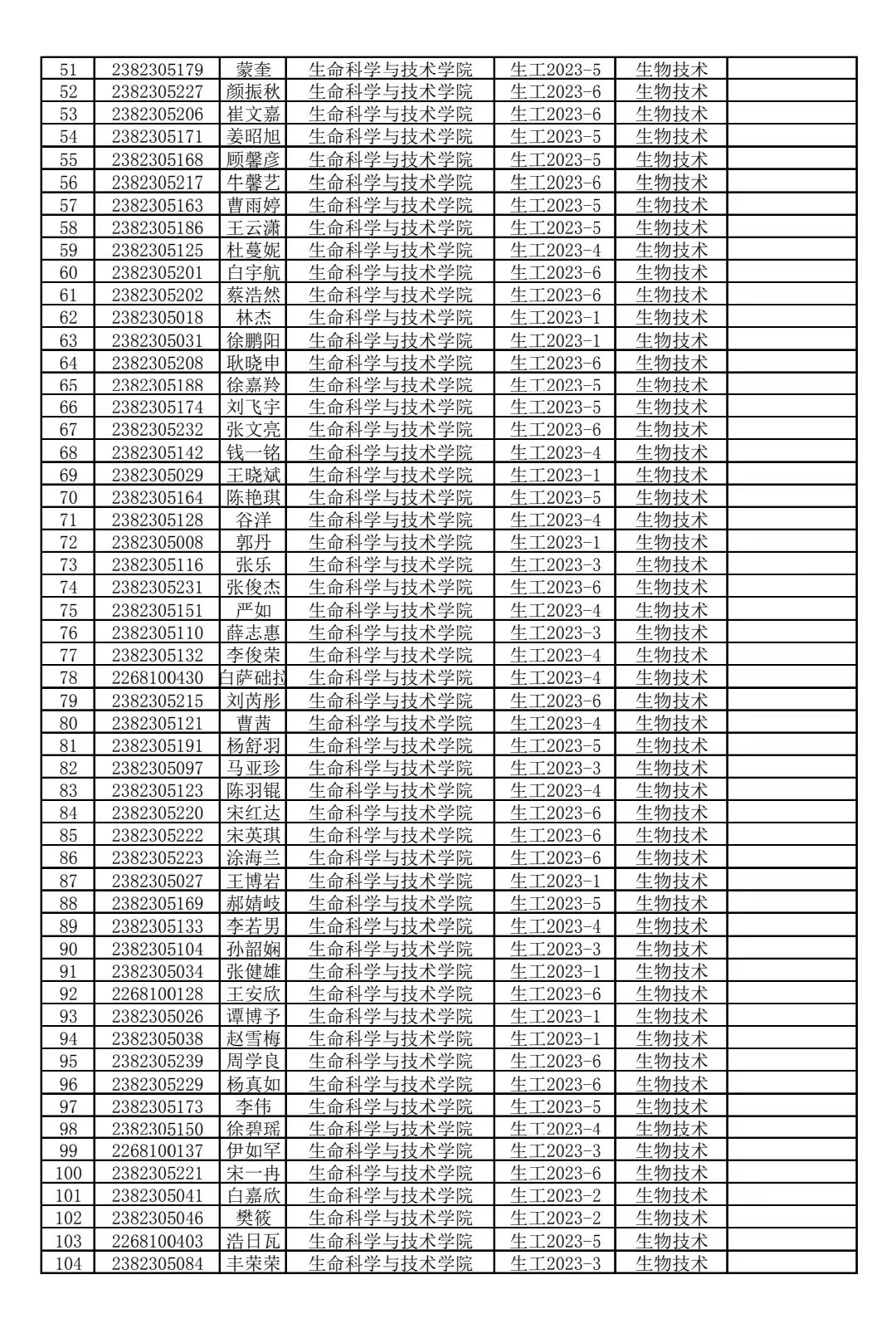
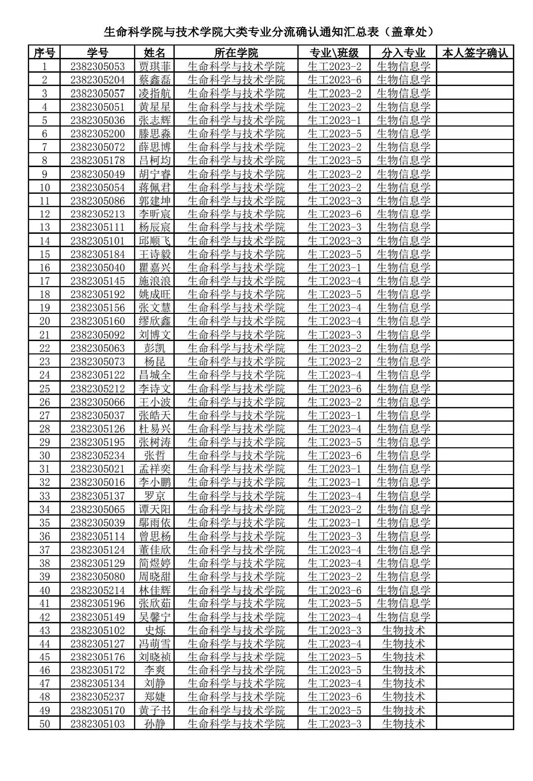
EMC易倍2023级生物工程类专业分流结果公示

发布日期:2024-04-23   阅读:[]

EMC易倍2023级生物工程类专业分流结果公示


根据《EMC易倍生物工程类专业分流实施细则》及员工本人专业分流网报名与确认,经公司专业分流工作领导小组决定,将2023级生物工程类员工专业分流结果予以公示(详见附件1),公示时间为2024年4月23日-4月27日,公示期五天。如有异议,请在公示期内反映至公司教学办,办公电话0472-5951944。


                                                                                EMC易倍

                                                                                  2024423


上一条:2023-2024学年EMC易倍转入专业员工考核结果公示
下一条:EMC易倍2024年转专业实施细则

关闭